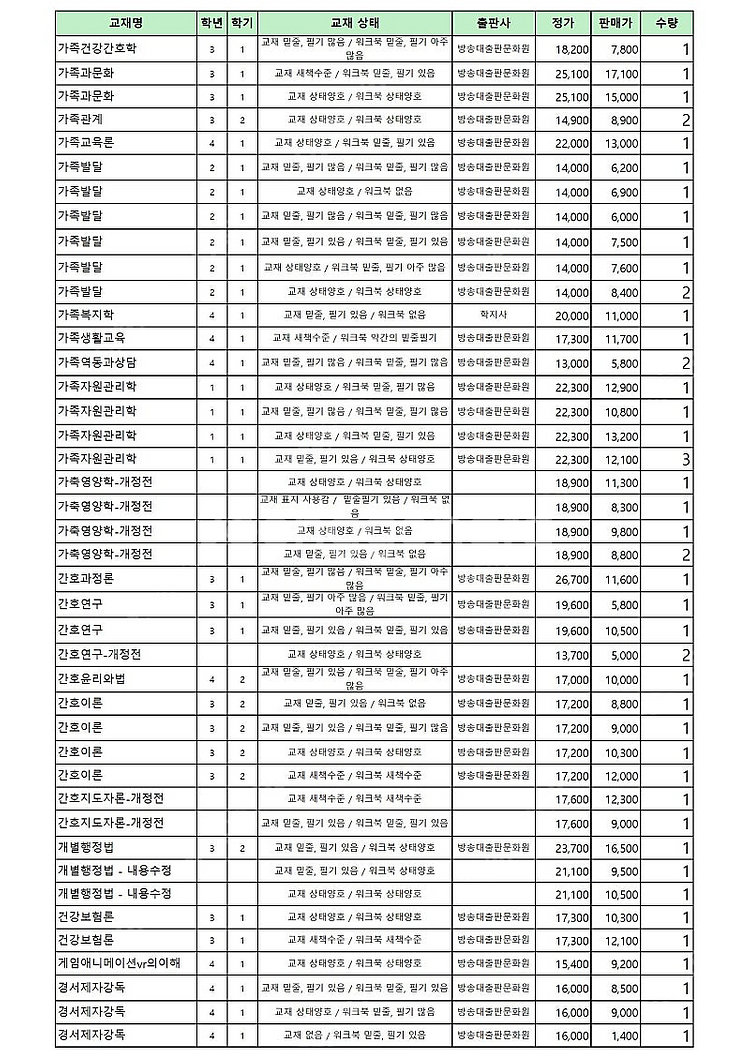
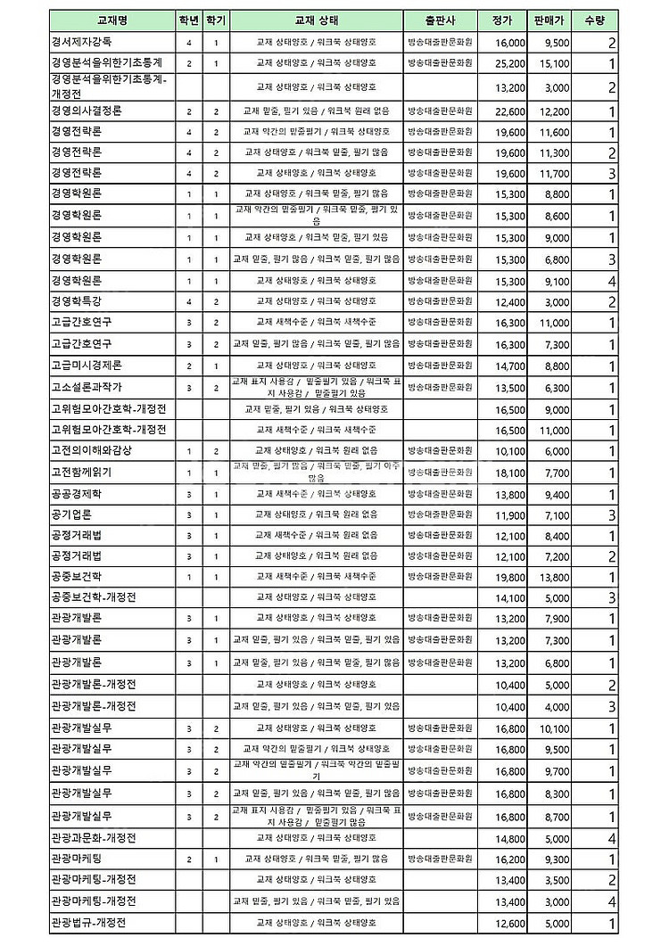
[방송대,방통대] 중고교재 삽니다 OR 팝니다. <2025.08.19 현재기준> 방송대 중고교재를 판매하고 있습니다. 2025년 1학기까지 개정된 교재들에 대해서 소리북스 블로그에 개정전.후로 목차를 비교해서 글을 올려놓았으며, 교재 구입시 참고하면 좋겠습니다. 2025년 2학기 개정사항 까지 반영되었으니 개정 전후 목차 비교 후 구입바랍니다. 방송대 교재는 학기와 상관없이 개정만 되지 않았으며 매입도 계속 하고 있습니다. 개정여부는 방송대출판문화원에서 교재명으로 검색하면 확인이 가능합니다!!! 교재 일괄판매를 원하는 경우는, 방송대 교재가 개정되지 않은 교재로 4권이상이면 CJ대한통운 택배로 무료수거 매입하고 있으니 아래의 블로그 내용 확인하고 판매신청서를 제출하면 됩니다. 문자나 카톡으로 문의주면 답변드리겠습니다. 현재 판매하고 있는 방송대 중고교재 리스트 첨부했으니 아래 엑셀파일 참조해주세요~ 필요한 교재 있으며 문자( ***.****.**** )나 카카오톡 ( soribooks ) 로 문의 주시기 바랍니다. (낮에는 다른 일을 하고 있어 통화가 어렵습니다.) 택배비는 3,500원 정액이고요, 편의점 반값 택배는 어렵습니다.ㅠㅠ ※ 첨부된 엑셀 리스트에서 교재명으로 검색하시기 바랍니다!! 세계의역사, 세상읽기와논술, C++프로그래밍, C프로그래밍, e-비즈니스, Java프로그래밍, JSP프로그래밍, R을이용한다변량분석, UNIX시스템, 가계재무관리, 가정복지학연구법, 가족건강간호학, 가족교육론, 가족발달, 가족상담및치료, 가족생활교육, 가축사양학1, 가축의개량과번식, 간호과정론, 간호연구, 간호지도자론, 간호학특론, 건강보험론, 건강증진론, 게임에니메이션VR의이해, 경서제자강독, 경영분석을위한기초통계, 경영학원론, 고급R활용, 고급간호연구, 고급영문강독, 고급영양학, 고급일본어활용, 고소설론과작가, 고위험모아간호학, 고전소설강독, 고전함께읽기, 고전시가강독, 고전시가론, 공기업론, 공정거래법, 공중보건학, 관광개발론, 관광개발실무, 관광과문화, 관광마케팅, 관광법규, 관광창업론, 관광학개론, 관광해설론, 관광행동론, 관리회계원리, 교과교육론, 교과교재연구및지도법, 교육공학, 교육과정, 교육과정및평가, 교육사, 교육사회학, 교육의이해, 교육철학, 교육평가, 구비문학의세계, 국문학개론, 국문학연습, 국문학의역사, 국어사, 국어학개론, 국제경영의이해, 국제경영전략, 국제경영학, 국제광고론, 국제금융론, 국제마케팅, 국제무역과협상, 국제브랜드관리, 국제인권법, 국제정책및통상갈등, 근대화와동서양, 근현대속의한국, 근현대일본정치사, 근현대한일관계와국제사회, 글과생각, 글로벌스타트업브랜딩, 글로벌자산관리, 글로벌프랜차이즈창업, 글쓰기, 금융시장론, 금융제도의이해, 기본권의기초이론, 기술혁신의경제학, 기초간호과학, 기초거시경제론, 기초미시경제론, 기초영양학, 기초한자, 기획론, 남녀평등과법, 노동경제학, 노사관계론, 노사관계법, 노인간호학, 노인교육론, 노인복지론, 놀이지도, 농업경영학, 농축산환경학, 농학원론, 뉴미디어뉴커뮤니케이션, 뉴미디어, 다국적기업론, 다문화교육론, 대기오염개론, 대중문화의이해, 대학수학의이해, 대학영어, 데이터과학입문, 데이터마이닝, 데이터처리와활용, 도시경제학, 도시행정론,독의즐거움, 동물의유전과개량, 동서양문학고전산책, 동아시아경제론, 대학영어 등등 🚨회원님의 거래 게시글을 노린 중고나라 운영진 사칭 피싱 사이트를 주의하세요🚨상품 정보 내 개인정보는 자동 보호됩니다. 안심결제로 안전하게 거래하세요.
1/10
새 상품은 어떠세요?

이런 상품은 어때요?
파워쇼핑


![[방송대, 방통대] 중고교재 삽니다 or 팝니다 (2025.08.19 기준)--0](https://img2.joongna.com/cafe-article-data/live/2025/08/22/1115060946/1755836583302_000_aFU4h_main.jpg?impolicy=resizeWatermark3&ftext=%EC%86%8C%EB%A6%AC%EB%B6%81%EC%8A%A4)
![[방송대, 방통대] 중고교재 삽니다 or 팝니다 (2025.08.19 기준)--1](https://img2.joongna.com/cafe-article-data/live/2025/08/22/1115060946/1755836583302_001_oyshl.jpg?impolicy=resizeWatermark3&ftext=%EC%86%8C%EB%A6%AC%EB%B6%81%EC%8A%A4)
![[방송대, 방통대] 중고교재 삽니다 or 팝니다 (2025.08.19 기준)--2](https://img2.joongna.com/cafe-article-data/live/2025/08/22/1115060946/1755836583303_002_DoLLb.jpg?impolicy=resizeWatermark3&ftext=%EC%86%8C%EB%A6%AC%EB%B6%81%EC%8A%A4)
![[방송대, 방통대] 중고교재 삽니다 or 팝니다 (2025.08.19 기준)--3](https://img2.joongna.com/cafe-article-data/live/2025/08/22/1115060946/1755836583303_003_iW7hX.jpg?impolicy=resizeWatermark3&ftext=%EC%86%8C%EB%A6%AC%EB%B6%81%EC%8A%A4)
![[방송대, 방통대] 중고교재 삽니다 or 팝니다 (2025.08.19 기준)--4](https://img2.joongna.com/cafe-article-data/live/2025/08/22/1115060946/1755836583303_004_SBhIz.jpg?impolicy=resizeWatermark3&ftext=%EC%86%8C%EB%A6%AC%EB%B6%81%EC%8A%A4)
![[방송대, 방통대] 중고교재 삽니다 or 팝니다 (2025.08.19 기준)--5](https://img2.joongna.com/cafe-article-data/live/2025/08/22/1115060946/1755836583303_005_65Neq.jpeg?impolicy=resizeWatermark3&ftext=%EC%86%8C%EB%A6%AC%EB%B6%81%EC%8A%A4)
![[방송대, 방통대] 중고교재 삽니다 or 팝니다 (2025.08.19 기준)--6](https://img2.joongna.com/cafe-article-data/live/2025/08/22/1115060946/1755836583303_006_DFw1H.jpeg?impolicy=resizeWatermark3&ftext=%EC%86%8C%EB%A6%AC%EB%B6%81%EC%8A%A4)
![[방송대, 방통대] 중고교재 삽니다 or 팝니다 (2025.08.19 기준)--7](https://img2.joongna.com/cafe-article-data/live/2025/08/22/1115060946/1755836583303_007_jZZCY.jpeg?impolicy=resizeWatermark3&ftext=%EC%86%8C%EB%A6%AC%EB%B6%81%EC%8A%A4)
![[방송대, 방통대] 중고교재 삽니다 or 팝니다 (2025.08.19 기준)--8](https://img2.joongna.com/cafe-article-data/live/2025/08/22/1115060946/1755836583303_008_uaY90.jpeg?impolicy=resizeWatermark3&ftext=%EC%86%8C%EB%A6%AC%EB%B6%81%EC%8A%A4)
![[방송대, 방통대] 중고교재 삽니다 or 팝니다 (2025.08.19 기준)--9](https://img2.joongna.com/cafe-article-data/live/2025/08/22/1115060946/1755836583303_009_oSGd4.jpeg?impolicy=resizeWatermark3&ftext=%EC%86%8C%EB%A6%AC%EB%B6%81%EC%8A%A4)